Skip to content
M Dash Foundation: C Cube Learning
Analog Electronics
A series of lectures I gave on a course-paper named Analog systems and applications.
Classical Mechanics
Electricity And Magnetism Basics
Electromagnetic theory
Nuclear Physics
Particle Physics
Theory of Relativity
Statistical Mechanics
Solid Sate Physics
Quantum Mechanics
Waves and Optics
Neutrino
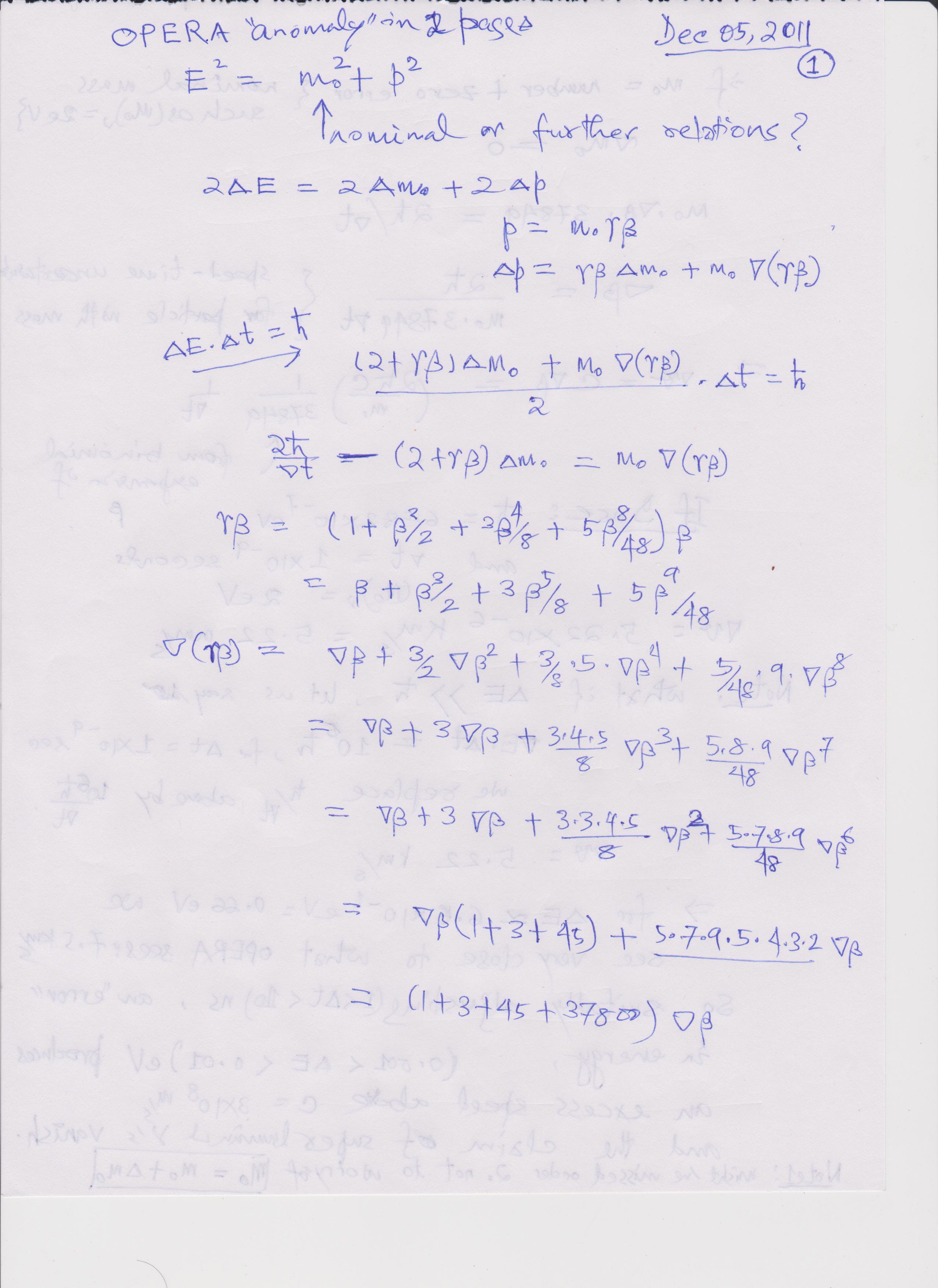
OPERA
Photon
CSIR NET (Physics)
Higher Secondary School
A compendium of useful class tests, subject materials, etc, for higher secondary education, i.e. class-XI and class-XII for various boards.
Irodov Solutions
Solutions of Problems in General Physics by I.E. Irodov.
Japanese
001
Posted
December 4, 2011
in
by
Invariance, MDASHF i@M
Tags:
Comments
Leave a comment
Cancel reply
Comment
Subscribe
Subscribed
M Dash Foundation: C Cube Learning
Join 261 other subscribers
Sign me up
Already have a WordPress.com account?
Log in now.
M Dash Foundation: C Cube Learning
Subscribe
Subscribed
Sign up
Log in
Copy shortlink
Report this content
View post in Reader
Manage subscriptions
Collapse this bar
Leave a comment