The CSIR NET 2018 held on December 16: Indian Assistant Professor and PhD scholarship exam solution, prepared by me. The answers and detailed explanations are available for 18 out of 25 questions of Part-B. The detailed explanations and answers to Part-A is also available, see link below. Please point out any inadvertent errors. (this is entirely free stuff: help spread the word)
( CSIR NET 2018 December: Part A ) See the detailed explanations and solutions to part A
The article aims to make the best attempt at finding the answers for the recently concluded 2018 CSIR NET. Detailed explanatory answers for physical sciences section ( part-B ) is available ( for 18 out of 25 questions at the moment ). Also full explanation based solutions to part-A is available, check link above.
CSIR NET 2018 December physical sciences
Part B
Q - 21. Consider the decay A → B + C of a relativistic spin 1/2 particle A. Which of the following statements is true in the rest frame of the particle A? 1. The spin of both B and C may be 1/2. 2. The sum of the masses of B and C is greater than the mass of A. 3. The energy of B is uniquely determined by the masses of the particles. 4. The spin of both B and C may be integral.
click to see or hide answer to Q – 21
— the answer is: option 3.
Explanation: obviously the second option is incorrect as it violates conservation of energy in relativistic kinematics, rest-masses of the product particles can not be more than that of the parent particle. Option 3 is explained with a diagram. The value of the energy of one of the daughter particle ( B ) is determined uniquely as evinced by the given formula for the same.
In a two body relativistic decay in the parent rest frame: EB = ( MA2 – MC2 + MB2 ) / 2 MA
Also the other options talk about the spin of the particles but we need not bother since option 3 is the correct option.

Hence the correct answer is option 3.
Q - 22. Two current-carrying circular loops, each of radius R, are placed perpendicular to each other, as shown in the figure below. the loop in the xy-plane carries a current I0 while that in the xz-plane carries a current 2I0. The resulting magnetic fieldat the origin is

1.2.
3.
4.
click to see or hide answer to Q – 22
— the answer is: option 3.
We only need to find the direction of the net magnetic field of the two circular loops to be able to select the correct answer. Thats because all the options have the same common magnitude of the field: ( μ0 I0 ) / 2 R. For the vertical loop with current 2I0 if we curl our palm along the shown direction for current our thumb points in the – y axis. Thus we should have a vector: . Similarly for the horizontal loop if we curl our palm along the shown direction for the current our thumb points in the +ve z axis and we must have a vector:
. As a result the total field created by the two loops of currents is:
.
Hence the correct answer is option 3.
Q - 23. An electric dipole of dipole momentis placed at the origin in the vicinity of two charges +q and -q at (L, b) and (L, -b) respectively, as shown in the figure below. The electrostatic potential at the point (L/2, 0) is

1.2.
3.
4.
![]()
click to see or hide answer to Q – 23
— the answer is: option .
Explanation:
Hence the correct answer is option .
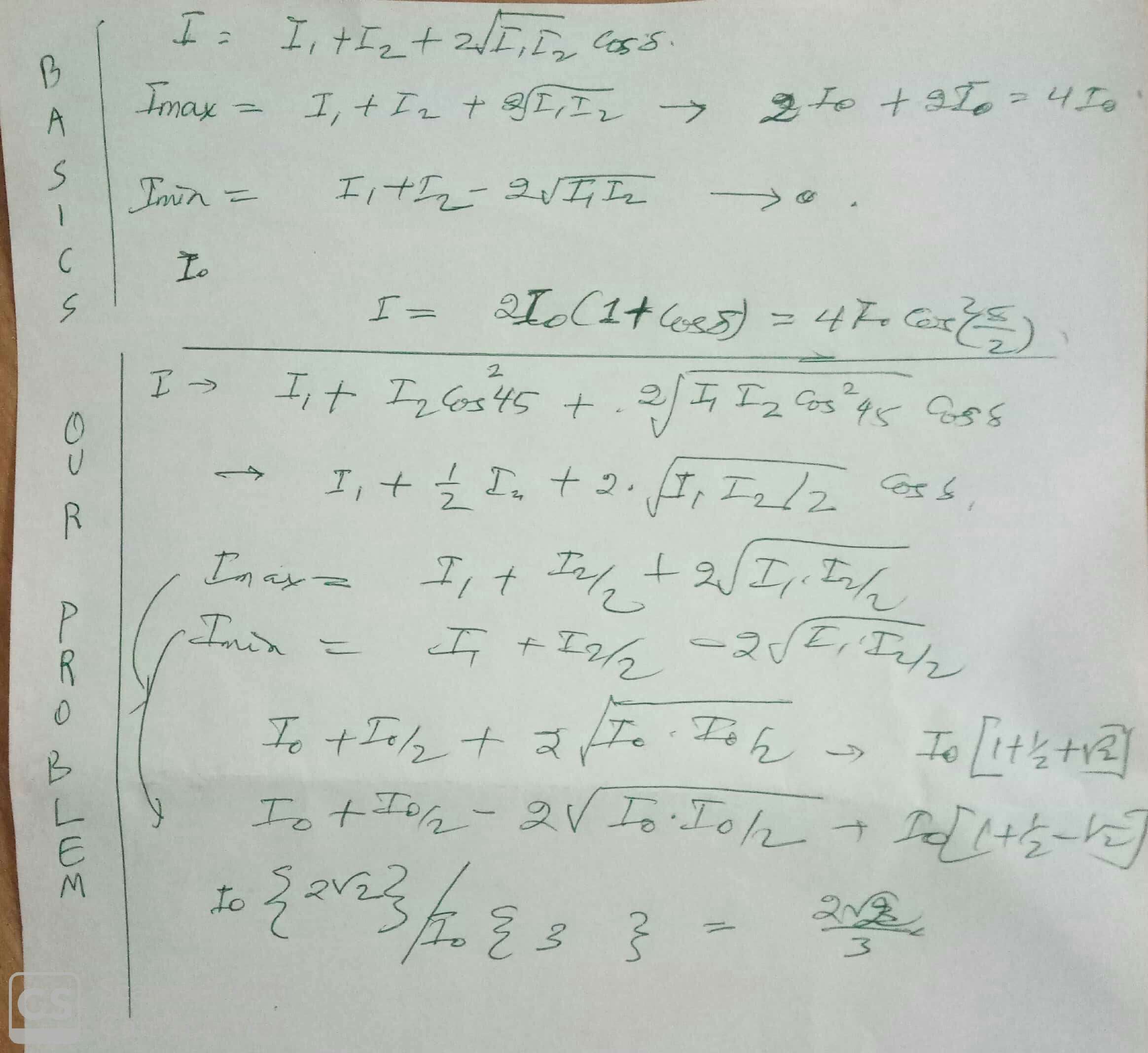
Q - 24. A monochromatic and linearly polarised light is used in a Young's double slit experiment. A linear polarizer, whose pass axis is at an angle 450 to the polarisation of the incident wave, is placed in front of one of the slits. If Imax and Imin, respectively denote, the maximum and minimum intensities of the interference pattern on the screen, the visibility, defined as the ratio (Imax - Imin)/(Imax + Imin), is 1. √2/3 2. 2/3 3. 2√2/3 4. √2/√3
click to see or hide answer to Q – 24
— the answer is: option 3.
Explanation: (updated 10:45 pm, 14-12-2019) For the time being I am uploading a scanned solution sheet. I will update this later. To understand the expressions you need to go through the linked lecture: ( lecture VII ) read about interference of light waves and remember how intensity is dropped by a square of cosine of angle between source polarization and polarizer pass axis. Remember that both intensity (slit 1 and slit 2) are same to begin with (I_zero). Then one of the intensity (either slit) is changed due to polarization through the polarizer. 
Hence the correct answer is option 3.
Q - 25. An electromagnetic wave propagates in a non-magnetic medium with relative permittivity ε = 4. The magnetic field for this wave iswhere H0 is a constant. The corresponding electric field
is 1.
2.
3.
4.
click to see or hide answer to Q – 25
— the answer is: option 1.
Explanation: the idea is to determine the direction of the field as the magnitude is same in all 4 given options. The first thing to calculate is the direction of the em wave. The direction of the em wave ( same as wave propagation vector and the direction of Poynting vector
) in a cos ( kx – ωt ) = cos ( ωt – kx ) variation is in the + x direction. This means our given wave travels in the direction of the vector
. But we know that
. The option 1 gives us:
. We used the fact that: direction of the magnetic field vector H/B is
.
Hence the correct answer is option 1.
Q - 26. The ground state energy of an anisotropic harmonic oscillator described by the potential: V(x,y,z) = (1/2) mω2x2 + 2mω2y2 + 8mω2z2 (in units of) 1. 5/2 2. 7/2 3. 3/2 4. 1/2
click to see or hide answer to Q – 26
— the answer is: option .
Explanation:
Hence the correct answer is option .
Q - 27. The product ΔxΔp of uncertainties in the position and momentum of a simple harmonic oscillator of mass m and angular frequency ω in the ground state, is
. The value of the product ΔxΔp in the state
( where l is a constant and
is the momentum operator ) is 1.
2.
3.
4.
click to see or hide answer to Q – 27
— the answer is: option .
Explanation:
Hence the correct answer is option .
Q - 28. Let the wavefunction of the electron in a hydrogen atom be, where
are the eigenstates of the Hamiltonian in the standard notation. The expectation value of the energy in this state is 1. -10.8 eV 2. -6.2 eV 3. -9.5 eV 4. -5.1 eV
click to see or hide answer to Q – 28
— the answer is: option 4.
Explanation: the given state is already normalized ( amplitude squares add up to 1 ). All we need to do is compute ( amplitude ) 2 / n2 and multiply to -13.6 eV. The ( amplitude ) 2 and corresponding n2 are given as: ( 1/6, 4 ), ( 2/3, 4 ), ( 1/6, 1). This gives -5.1 eV, answer that is given in option 4.
Hence the correct answer is option 4.
Q - 29. Three identical spin 1/2 particles of mass m are confined to a one-dimensional box of length L, but are otherwise free. Assuming that they are non-interacting, the energy of the lowest two energy eigenstates, in units of, are 1. 3 and 6 2. 6 and 9 3. 6 and 11 4. 3 and 9
click to see or hide answer to Q – 29
— the answer is: option 1.
Explanation: the energy eigenstates of the 1 dimensional box are given as: and the eigenvalues are given as
. Accordingly the lowest two energy eigenstates correspond to the quantum numbers ( 1, 1, 1 ) where all the 3 particles are in the ground state and ( 2, 1, 1 ) where at-most 1 particle is in the first excited state and the other two in the ground state. Accordingly the lowest two energy states correspond to 12+12+12 = 3 and 22+12+12 = 6 in units of
.
Hence the correct answer is option 1.
Q - 30. The heat capacity CV at constant volume of a metal, as a function of temperature, is αT+βT3, where α and β are constants. The temperature dependence of the entropy at constant volume is 1. αT+(1/3)βT3 2. αT+βT3 3. (1/2)αT+(1/3)βT3 4. (1/2)αT+(1/4)βT3
click to see or hide answer to Q – 30
— the answer is: option 1.
Explanation: The specific heat at constant volume is given by the expression: . An integration of the same yields the temperature dependence of the entropy: S = [∫ (CV/T ) dT ]N, V = ∫α dT + ∫βT2 dT = αT + (1/3)βT3.
Hence the correct answer is option 1.
Q - 31. The rotational energy levels of a molecule arewhere l = 0, 1, 2, ... and I0 is its moment of inertia. The contribution of the rotational motion to the Helmholtz free energy per molecule, at low temperatures in a dilute gas of these molecules, is approximately 1.
2.
3. -kBT 4.
click to see or hide answer to Q – 31
— the answer is: option .
Explanation:
Hence the correct answer is option .
Q - 32. The vibrational motions of a diatomic molecule may be considered to be that of a simple harmonic oscillator with angular frequency ω. If a gas of these molecules is at a temperature T, what is the probability that a randomly picked molecule will be found in its lowest vibrational state? 1.2.
3.
4.
click to see or hide answer to Q – 32
— the answer is: option 2.
Explanation: when a system is in thermal equilibrium with a heat reservoir at temperature T, the probability Pr that the system be found in a state ( with index r ) with energy Er is given by this temperature T and energy of the state Er in the following manner ( its called canonical distribution ) : Pr = C e-βEr. Here β = (kBT)-1 and C is the constant which is the inverse of Z the sum of states or partition function ( C = Z-1 ) given by: Z = ∑r e-βEr. We can take C to be 1. What remains is the probability or the Boltzmann factor: e-βEr. So the probability of finding the randomly picked molecule in an energy state Er is e-(1/(kBT))Er. But energy of the diatomic molecules is given by: . In the ground state ( n = 0 ) the energy is:
. Thus the probability of finding a randomly picked molecule in its lowest vibrational state is:
.
Hence the correct answer is option 2.
Q - 33. Consider an ideal Fermi gas in a grand canonical ensemble at a constant chemical potential. The variance of the occupation number of the single particle energy level with mean occupation numberis 1.
2.
3.
4.
click to see or hide answer to Q – 33
— the answer is: option 1.
Explanation: For a general statistical variable x the variance ( Δ which is the square of the standard deviation σ ) is given by: where p gives the probability of occurrence and q=(1-p) the probability of non-occurrence. Since we have a single particle we can safely take N = 1. This gives us the correct option when we realize that the probability of occurrence p is the same as the mean of the occupation number
. Since grand canonical ensemble of a single fermion system is only a subsystem of the general statistical system this result follows. Other options can’t follow from this general formula. ( I have checked the answer to be correct, although there is a rigorous proof, but I am unable to plough further at the moment. )
Hence the correct answer is option 1.
Q - 34. Consider the following circuit, consisting of an RS flip-flop and two AND gates.

Which of the following connections will allow the entire circuit to act as a JK flip-flop? 1. Connect Q to pin 1 andto pin 2 2. Connect Q to pin 2 and
to pin 1 3. Connect Q to K input and
to J input 4. Connect Q to J input and
to K input
click to see or hide answer to Q – 34
— the answer is: option 2.
Explanation: let’s follow the figure. Also I have given the truth table for a JK flip-flop, for the enthused. ( One can verify the flip flop works correctly with the truth table. )

| C ( clk ) | J | K | Qn+1 | Action |
| ↑ | 0 | 0 | Qn (last) | No change |
| ↑ | 0 | 1 | 0 | RESET |
| ↑ | 1 | 0 | 1 | SET |
| ↑ | 1 | 1 | Toggle |
Hence the correct answer is option 2.
Q - 35. The truth table below gives the value Y(A,B,C) where A, B and C are binary variables.
| A | B | C | Y |
| 0 | 0 | 0 | 1 |
| 0 | 0 | 1 | 0 |
| 0 | 1 | 0 | 0 |
| 0 | 1 | 1 | 1 |
| 0 | 0 | 0 | 1 |
| 0 | 0 | 1 | 0 |
| 0 | 1 | 0 | 0 |
| 0 | 1 | 1 | 1 |
The output Y can be represented by 1.2.
3.
4.
click to see or hide answer to Q – 35
— the answer is: option 2.
Explanation: Only option 2 satisfies all rows of the table. eg if we take row 1: A = 0, B = 0, C = 0. Their inversions are respectively 1, 1, 1 and we get Y = 1+ 0+0+0=1 which is also shown in the table. Let’s take the first row of table and apply on option 1. We see Y = 0. But table says 1. Hence option 1 can’t be correct. Similarly easily it can be checked that option 3 and 4 are incorrect.
Hence the correct answer is option 2.
Q - 36. A sinusoidal signal is an input to the following circuit.

Which of the following graphs best describes the
output waveform?

click to see or hide answer to Q – 36
— the answer is: option .
Explanation:
Hence the correct answer is option .
Q - 37. A sinusoidal voltage having a peak value of Vp is an input to the following circuit, in which the DC voltage is Vb.

assuming an ideal diode, which of the following best
describes the output waveform?

click to see or hide answer to Q – 37
— the answer is: option .
Explanation:
Hence the correct answer is option .
Q - 38. One of the eigenvalues of the matrix eA is ea, where. The product of the other two eigenvalues of eA is 1. e2a 2. e-a 3. e-2a 4. 1
click to see or hide answer to Q – 38
— the answer is: option 4.
Explanation: To solve this we need to know 2 identities of the elegant matrix method. one: det (eA) = eTr (A) two: the product of eigenvalues of eA = det (eA). Since Tr (A) = a therefore we see that the product of eigenvalues of eA = ea. Thus the product of the other two eigenvalues is just 1.
Hence the correct answer is option 4.
Q - 39. The polynomial f(x) = 1 + 5x + 3x2 is written as a linear combination of the Legendre polynomials (P0(x) = 1, P1(x) = x, P2(x) = (1/2)(3x2 - 1)) as f(x) = Σn cnPn(x). The value of c0 is 1. 1/4 2. 1/2 3. 2 4. 0
click to see or hide answer to Q – 39
— the answer is: option 3.
Explanation: Let’s write f(x) = c0P0(x) + c1P1(x) + c2P2(x) = 1 + 5x + 3x2. This means c0+c1x+c2(3x2–1)/2 = 1 + 5x + 3x2 and c0-(c2/2)=1, c1=5, (c2)×(3/2) =3. Solving for c2 this gives: c2 = 2. Solving for c0 gives c0 = 2.
Hence the correct answer is option 3.
Q - 40. The value of the integralwhere C is a circle of radius π/2, traversed counter-clockwise, with centre at z = 0, is 1. 4 2. 4i 3. 2i 4. 0
click to see or hide answer to Q – 40
— the answer is: option 4.
Explanation: According to the residue theorem: . Here: f(z)=g(z)/zh(z) where g(z) = tanh z and h(z) = sin πz. We see that f(z) has a simple pole at z = 0, h(0) = 0 and g(z) is analytic. So residue is given as: R(0) = lim z→0 [zf(z)]= lim z→0 [zg(z)/(zh(z))]. Then by L’Hospital’s rule: R(0) = g(0) lim z→0 [1/h(z)] = g(0) lim z→0 [1/h'(z)]=g(0)/h'(0) = 0/1=0. So the integral is zero.
Hence the correct answer is option 4.
Q - 41. A particle of mass m, moving along the x-direction, experiences a damping force -γv2, where γ is a constant and v is its instantaneous speed. If the speed at t = 0 is v0, the speed at time t is 1. v0e-(γv0t)/m 2. v0/{1+ln[1+(γv0t)/m]} 3. mv0/(m+γv0t) 4. 2v0/[1+ e(γv0t)/m]
click to see or hide answer to Q – 41
— the answer is: option 3.
Explanation: from the given information we can write: m(d2x/dt2) = -γv2 so m(dv/dt) = -γv2 and (mdv)/v2=-γdt. Integrating and using given initial conditions ( v = v0 at t = 0 ) we get option 3: v = mv0/(m+γv0t).
Hence the correct answer is option 3.
Q - 42. The integral I = ∫c ezdz is evaluated from the point (-1,0) to (1,0) along the contour C, which is an arc of the parabola y = x2 - 1, as shown in the figure.

The value of I is
1. 0 2. 2 sinh 1
3. e2i sinh 1 4. e + e-1
click to see or hide answer to Q – 42
— the answer is: option .
Explanation:
Hence the correct answer is option .
Q - 43. In terms of arbitrary constants A and B, the general solution to the differential equation x2(d2y/dx2) + 5x(dy/dx) + 3y = 0 is 1. y = A/x + Bx3 2. y = Ax + B/x3 3. y = Ax + Bx3 4. y = A/x + B/x3
click to see or hide answer to Q – 43
— the answer is: option 4.
Explanation: it can be easily checked that 1/x and 1/x3 satisfy the given differential equation hence a linear combination of them viz. y = A/x + B/x3 also satisfies the differential equation.
Hence the correct answer is option 4.
Q - 44. In the attractive Kepler problem described by the central potential V(r) = -k/r ( where k is a positive constant ), a particle of mass m with a non-zero angular momentum can never reach the center due to the centrifugal barrier. If we modify the potential to V(r) = -k/r - β/r3 one finds that there is a critical value of the angular momentum lc below which there is no centrifugal barrier. This value of lc is 1. [12km2β]1/2 2. [12km2β]-1/2 3. [12km2β]1/4 4. [12km2β]-1/4
click to see or hide answer to Q – 44
— the answer is tentative: option 1.
Explanation: k has units of ( energy × distance ) / mass and β has units of ( energy × volume ) / mass. So [12km2β]1/2 has units of energy × area. Angular momentum has units of energy × time. So option 1 seems to be close to the correct answer ( I am guessing: other options have energy units in the square root or inverse ). Or something is missing.
Hence the correct answer seems to be option 1.
Q - 45. The time period of a particle of mass m, undergoing small oscillations around x = 0, in the potential V = V0 cosh (x/L), is 1.2.
3.
4.
click to see or hide answer to Q – 45
— the answer is tentative: option 3.
Explanation: F = -dV/dx = -V0/L sinh (x/L). For small oscillations sinh (x/L) ~ x/L. So, F = -(V0x/L2) = -kx. So, k = V0/L2. So time period is given as: .
Hence the correct answer is option 3.

Leave a comment