[Article Edited; 28-09-2014 ]
The scanned pages in the slideshows is also directly appended in the end for better readability in case you don’t get a good resolution of the scanned pages in the slide-show.
I did a formal analysis of the flyby situation for Galileo-I, 2 x 19 = 38 pages added, Last 2 x 9 = 18 pages haven’t been.

a preliminary calculation and graphing gives a (– exactly) similar graph to that obtained for Galileo flyby satellite, eg given in Wikipedia, but the effect is perhaps 10 cm(/s?) constant, towards infinity; = 100 mm/s increment. In that case the ~ 1% non-inertial effects of spinning earth may produce a 4 mm/s. I will try to include that later … [In the latest version of the analysis this effect in some preliminary form have been followed]
UPDATE: 18/11/2011; In my calculations for flyby of Galileo (I) I had an error of about 0.4 in eccentricity, coming from the angle of deflection. This changes semi-major axis by about 1100 kms and the “trade-off impact” I defined, from ~ -27000 to +21040 x R = 1.34 x 10^8 kms which is 447 light seconds = 7.45 light minutes = ~1 AU, that is, by the time the satellite is as far as the sun is. From that distance the instruments on earth will observe zero shift in frequency, at any frequency, which will start growing as the satellite approaches or recedes from that distance.
( — I also had an error in one of the parameters I had defined which is also why the trade-off changed to a large value)
But the important idea remains, that the shift we see due to general relativistic effect of earth’s gravity produces 100 mm/s (– correct to a factor between fractional shift in frequency and that in velocity of satellite) This effect is present to infinite distance, and same everywhere. This is the earth’s potential at it’s surface: ~10^{-9}.
The velocity shift is dependent on “what frequency we use?” for telemetry (– I haven’t reviewed that question, entirely, although some research on telemetry I did) SO the non-inertial effects of the spin of earth is what remains to be seen. I am studying this. This effect is slated at 1% in acceleration, hence it may very well produce 4% of static earth effect of 100 mm/s, the observed effect at infinity is ~ 4 mm/s.
The static effect in the amount of the surface potential of earth is binding since we measure all effects from surface of earth itself, hence we must see this effect on our radars, if this has been corrected in the Galileo (I) flyby observations, we must look for non-inertial effects as has been suggested and pointed out.
— Below: a velocity adjusted plot of the obtained gravitational shift, I may not have done it correctly and may be missing a factor, to get fractional velocity shift I just divided the fractional frequency shift by 2, from derivative considerations, I get 10 cm/s constant increment away from perigee as you can see here.
This (below) is qualitatively same as the velocity shift of the Galileo-I. But their shift is only 4 mm/s which is about 4% of what we see here, so it may be coming from the spinning (– noninertialness) of earth which is classically about 1% in acceleration (due to gravity?), hence by principle of equivalence may be producing similar effect.


1.2% spinning effect (– classically) makes the 80 mm/s come down to 9.6 mm/s, a factor of 1/2 (– easily missed in transforming the fractional frequency and speed conversion can make this to confirm to the observed 4 mm/s.
** The above is what I get if I do not have the 10^{5} factor in the function, which I did not have earlier (steps of analysis). If this is indeed so, even the static earth potential is producing an effect similar to the flyby shown by Galileo-I. (– I am reviewing)
— The transverse Doppler Shift for such a secondary object velocity is only ~1 MHz whereas the gravitational red-shift is significantly larger that accounts for the anomaly.
In this blog I have stated my analysis for the famous flyby anomaly which is observed for a number of satellites while flying by our planet. Here I have assumed the orbital energy of the satellite while passing by earth, if not taken into account in the Gravity-o-Electric-Potential (Gravitoelectric ) causes enough change in the observed frequency shift which at points near the earth ranges in the order of even the anomalous value itself.
Note 1; I still need to remove one additional term from the actual binding energy (Already did in the calculations: see scanned pages)
Note 2; Gravitoelectric potential means: inertial (?) General Relativistic Red-shift / violet-shift due to earth on frequencies emitted by these satellites, while passing through this field.
Confirmed (!!): I (might) have solved flyby anomaly of Galileo-I (1990) the satellite which had made a lot of news around 1990-1994 when I was in high-school. If I remember, it was all over the news. I do not remember exactly which one, the flyby or the Eda or the 951 Gaspra or Jupiter itself. If its later, I was into pre-college.
(I didn’t recall until I reviewed about this satellite yesterday).
Turns out that if I assume Galileo-I to be at any altitude; a secondary in circular motion much like say a GPS satellite, then by correcting for its energy of flight in it’s actual trajectory which is a hyperbola, at 2 GHz frequency of radar observation, I would get a red-shift of 86 milli-Hz when the flight is at 1500 kms above earth surface. (– This value will change when I make correct corrections, this was based on incorrect determination, which I fixed, again see the scanned pages, they contain step wise sequential correction until we get very sensible results)
The hyperbola above is computed from the available flight data of Galileo-I. Also one needs to know exact frequency used for radar Doppler Measurement, it is only stated; they do the measurement at S-band (– which I reviewed from another source of information to be: 2 to 4 GHz) and X-band (– this another source of information: 8 to 12 GHz).
{{{
statements in {{{ … }}} here have been corrected, see italicized description below
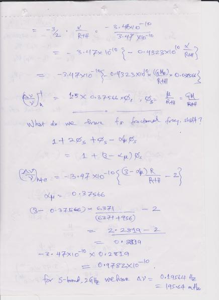
Note that the exact height where violet and red shifts will be traded is not R/2 (= 50% of earth radii) but (1-alpha_mu) x 50% of earth radii, alpha_mu = 0.376. That is if the satellite comes to a height of 31.2% the earth radii we will have zero shift. Below this height there will be violet shift and above red-shift. This is 0.312*6371 kms = 1988 kms.
SO the above says it is actually not a red-shift but a violet shift for heights below 1988 kms. eg If you go slightly above this distance you will again get a red-shift, at 2 GHz, a value of 139 mHz.
One therefore takes a range of altitude and integrates over this range to get any residual shift. Actually since the satelite is falling at 13.7 km/s it goes a great distance in a minute, 822 kms. that in itself corresponds to a large change in frequency shift.
}}}
The above calculation was incorrect: After correctly determined it turns out this depends on alpha and/or alpha_mu: but in a much more interesting way, this blows the height where red-shift and violet-shifts are traded to be: ~ -27, 000 kms which is 2.45 times farther than the impact parameter of Galileo-I
(– I haven’t touched the impact parameter calculation available on wiki-pedia, but you can check my calculations now in the appended scanned pages, So we have an interesting situation, when we go from Perigee to that distance, 2.45 x impact we reach the level of zero shift in frequency due to the earth’s presence, I call this distance “trade-off impact” because that is where there is a trade-off between red and violet shift. If we integrate between +ve and -ve values of this distance we may get the exact velocity offset we are seeing for Galileo-I. )
For such frequency (S-band or X-band, unspecified frequency) they measure a shift of 66 mHz. They do not mention the altitude where they do this. If this is Perigee as mentioned (956 kms) then I get around 195 mHz and at height 1500 kms I get 86 mHz. So I will get 66 mHz exactly, within another 100 kms or so, in height. This will change once we know the actual frequency used and the range of altitudes where the shift is 66 mHz. In that case one can easily average and get exact values.
NOTE; above we have corrected the values by a correctly determined calculation, in the scanned pages.
Note that I have a lot of calculations that I had to do, eg determining the hyperbola as per radar-obtained parameters (– mentioned here), I get very close to velocity at infinite, if I use the given impact parameter as the infinite distance of the secondary. I will upload detailed calculations later when my scanner gets back to life.
(scanner has gotten back to life so if You have been hating me for all the uploads I have been doing on this blog site, I am sorry; talk to the hand or blame it on the scanner.)
Note that in summary Gravitational red/violet shift induced by earth’s gravitational field accounts for the anomaly by correctly adjusting for the positive energy the secondary has along its trajectory. This may not be the exact amount for anomaly since other small perturbations can also be accounted. But this is clearly the biggest factor that accounts for such.
(– all we need to do now is to take an exact way to integrate our result to see if we have indeed found the answer for the anomaly for Galileo-I, for other satellites I will do later)
Couple of publications that are relevant to this anomalous effect: (iii. I haven’t read yet)
i.The Puzzle of the Flyby Anomaly Slava G. Turyshev · Viktor T. Toth
ii. The Effect of General Relativity on Hyperbolic Orbits and Its Application to the Flyby Anomaly Lorenzo Iorio
iii. PROBING THE FLYBY ANOMALY WITH THE GALILEO CONSTELLATION O. Bertolami, F. Francisco, P.J.S. Gil and J. Paramos
FLYBY ANOMALY ANALYSIS STARTS HERE.

























Leave a comment